Strategy #10: Recognize Classic Expressions Involving Squares

These come up very frequently, but can be hiding. Look for them when dealing with quadratic expressions and save time.

x^2-y^2=(x+y)(x-y)
x^2+2xy+y^2=(x+y)^2
x^2-2xy+y^2=(x-y)^2    

​Look for, and recognize, pieces of them that may be in different parts of the problem. Connect the dots.
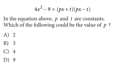
Example 1 (practice test 6)
No calculator

We can recognize the difference of two squares, the first of the three expressions. p = +2 or -2. Choice A is correct.

Previous
Previous

Strategy #11 Pythagorean Triples

Next
Next

Strategy #9: Use Shortcuts to Simplify Equations And Inequalities